金全有2026055期排列35分析,上期会员2胆命中6
先回顾一下上期情况。

上期排列3开出655,和尾为6,跨度为1,奇偶比为2:1,大小比为3:0,012路个数对比为1:0:2。
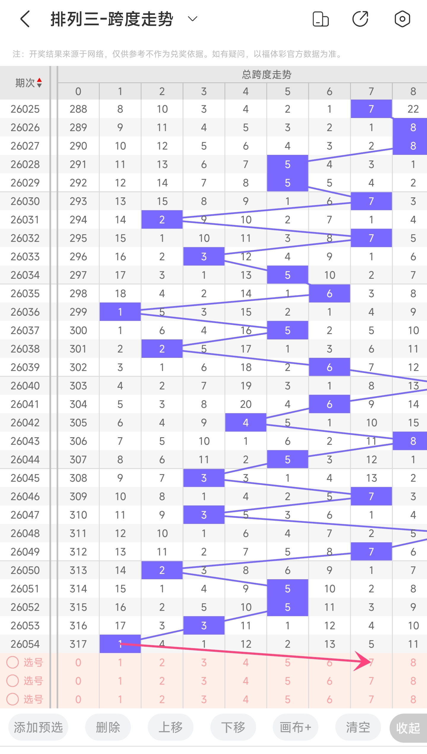
一、通过跨度走势分析:

上期跨度为1,往前一期跨度是3,趋势往左移动,偏移量为2。跨度值1时,跨度值是近30期开出最小的值。通过走势图分析,目前的趋势是大概率往右。所以推测本期跨度可能为35678等跨度。
二、通过和值走势分析:

上期和值为16,往前一期和值为15,趋势往右移动,偏移量为1。通过走势图分析,15和值是近30期内开出中间的和值,上升空间和下降空间差不多,但本期比较看好和值变小。因此推测本期趋势是往左的,和值会变小,小概率往右,和值变大。
三、通过奇偶走势分析:

上期开出了2:1的奇偶比。往前一期是1:2奇偶比。通过分析奇偶走势图,近30期内开出1:2奇偶比的次数是10次,开出2:1奇偶比的次数是16次,3:0是3次,0:3是1次。和前一期相比,2:1次数变多,0:3次数变少。通过走势图分析,上期开2:1奇偶比,本期还是看好2:1奇偶比。所以推测本期可能开2:1奇偶比,其次是1:2奇偶比,最后是3:0或者0:3奇偶比。
四、通过定位分析:

百位:
上期开出了6号球,往前一期开出的是7号球。趋势往左移动,偏移量为1。通过分析走势图,所以目前的趋势是大概率往左,小概率往右。从偏移量看,近2期偏移量比较小,本期继续关注小偏移量号码,其次偏移量有可能又突然变大,防一下大偏移量的号码。最后再结合遗漏期数和冷热号,本期我们可以关注1,2,5,8,9号球。综上所述本期我们推测可能开1,2,5,8,9等号码。
十位:
上期开出了5号球,往前一期开出的是4号球。趋势往右移动,偏移量为1,走势平缓,通过分析走势图,目前的趋势是可能往左也可能往右,所以本期两边的号码都关注一下。从偏移量来看,近期偏移量都比较小,本期继续关注中小偏移量的号码。最后再结合冷热号和遗漏期数,我们可以关注一下2,3,6,7,8等号。综上所述本期我们推测可能会开出2,3,6,7,8等号。
个位:
上期开出的是5号,往前一期是4号。趋势往右移动,偏移量是1。通过走势图分析,可以看到目前的趋势是可能往左也可能往右。再从偏移量来看,本期偏移量应该会变大一点,但不会变太大,所以本期关注中小偏移量的号码。最后再结合遗漏期数和冷热号,我们可以关注3,4,6,7,8等号。综上所述本期推测可能开出3,4,6,7,8等数。
五、总结:
百位推荐:1,2,5,8,9。
十位推荐:2,3,6,7,8。
个位推荐:3,4,6,7,8。
排列5十位推荐:0,2,4,7,8。
排列5个位推荐:0,2,3,6,8。
百位杀号:0
十位杀号:1
个位杀号:2
百位3胆:(会员解锁)
十位3胆:(会员解锁)
个位3胆:(会员解锁)
三胆:(会员解锁)
双胆:(会员解锁)
金胆:(会员解锁)
七码复式:1236789。
六码复式:(会员解锁)
五码复式:(会员解锁)
四码复式:(会员解锁)
30码推荐:(会员解锁)
我是金全有,以上观点仅供参考,如有不如意,望请海涵,担待。祝各位观众老爷,全中,多发,旺旺旺,也希望和老金名字一样,金子全都有。可以的话观众老爷能点个关注和赞,有能力的朋友可以点个小打赏。创作不易,您的点赞,关注和打赏是我最大的创作动力,感谢老板们!


