金全有2026057期福彩3D分析,上期会员金胆命中4
先回顾一下上期开奖情况。

上期开出477,和尾为8,跨度为3,奇偶比为2:1,大小比为2:1,012路个数对比为0:3:0。
近期回顾:
第2026053期福彩3D分析文章,5码定位命中755,二胆命中5。
第2026051期福彩3D分析文章,3胆命中302,5码复式命中302,单注320。
第2026048期福彩3D分析文章,5码定位命中612,百位个位胆码命中62,6码复式命中612。
第2026042期福彩3D分析文章,5码定位复式均命中854,百位十位胆码命中。
第2026035期福彩3D分析文章,5码复式命中213。
第2026034期福彩3D分析文章,5码复式命中052,百位个位胆码命中。
第2026032期福彩3D分析文章,5码复式命中452。
一、通过和值走势分析:

上期和值是18,往前一期和值是8。和值往右移动,偏移振幅为10。18和值是处于近30期内开出比较大的和值。下降的空间比较大,上升的空间比较小,本期比较看好和值变小,所以推测本期趋势是大概率变往左的,和值变小,小概率往右,和值变大。
二、通过类型走势分析:

上期开出了组三类型,往前一期是组六类型。理论上开出组六的概率是72%,开出组三的概率是27%,开出豹子的概率是1%。通过分析目前30期内已经开出的概率,组六概率为73.33%,开出组三概率是26.66%。开出豹子的概率为0%。与前一期相比,组六概率变小,组三概率变大。通过走势图可以看到上期开了组三,本期看好组六,但近期开出组三比较频繁,本期防一下。所以推测本期大概率开组六,防开组三。
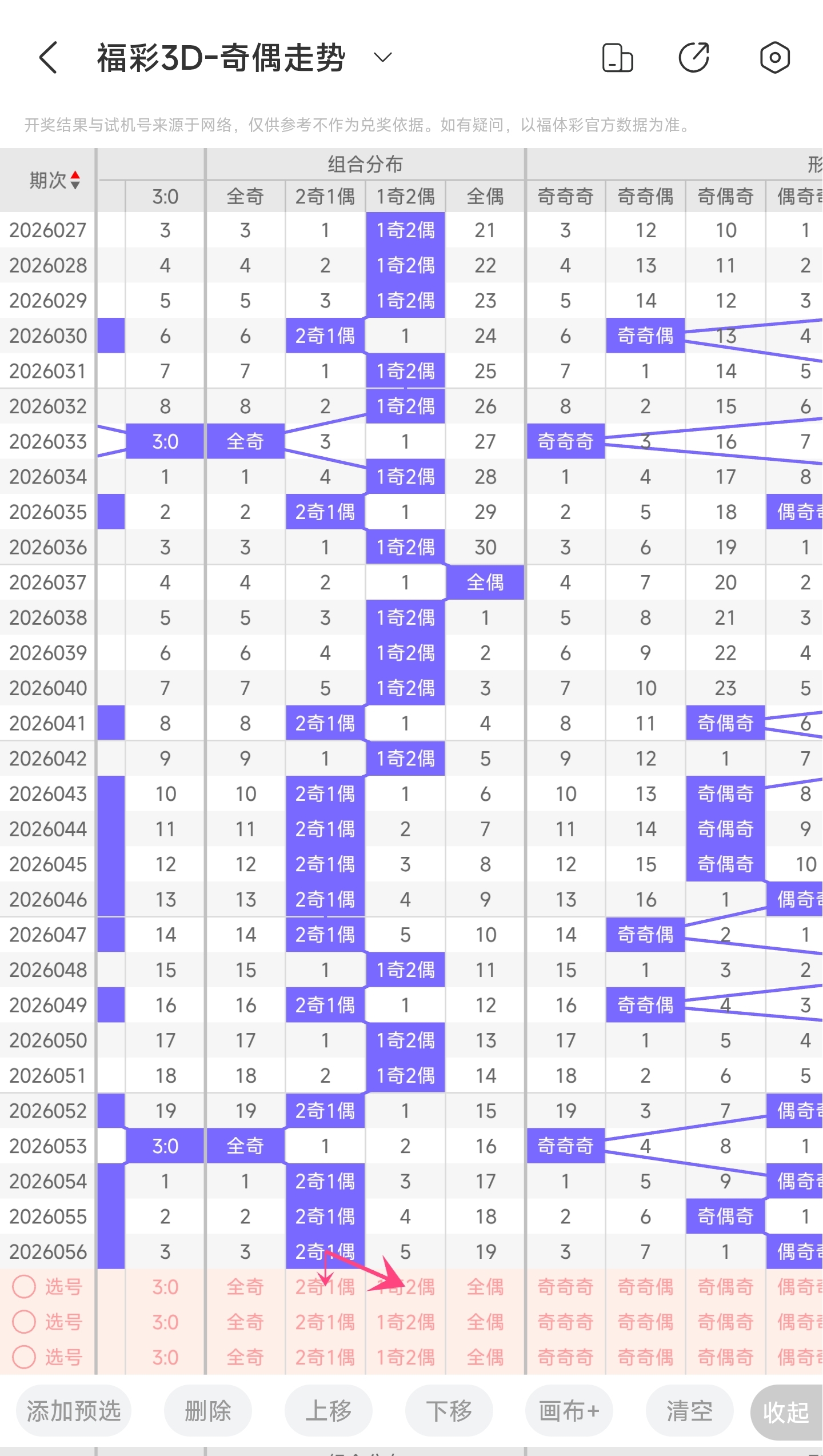
三、通过奇偶走势分析:

上期开了2奇1偶的情况,往前一期开出的是2奇1偶。从组合数学理论上来讲,开出2奇1偶和1奇2偶的概率都为37.5%,开出全偶和全奇的概率为12.5%。通过分析目前30期内的数据。本期的开出全偶的概率是3.33%,开出全奇的概率为6.66%,开出1奇2偶的概率为46.66%,开出2奇1偶的概率是43.33%。和前一期相比,2奇1偶概率变大,1奇2偶概率变小。通过走势图分析,上期开了2奇1偶,本期还是看好1奇2偶。所以本期推测可能开1奇2偶,其次是2奇1偶,然后是全奇或者全偶类型。
四、通过定位分析:

百位:
上期百位开出了4号球。前一期开出的是1号,趋势往右移动,偏移量为3,振幅为3。通过分析走势图,可以看到目前趋势是可能往左也可能往右。从偏移量来看,上期偏移量变大一点,本期比较看好可能稍微变小,其次比较大偏移量的号码也关注一下。最后再结合冷热号和遗漏期数,我们可以关注0,3,5,7,9等号码。综上所述本期我们推测有可能会开出0,3,5,7,9等数字。
十位:
上期十位开出了7号球。往前一期开出的是0号球,趋势往右移动,偏移了7个点,振幅为7。通过分析走势图,可以看到目前趋势是大概率往左,小概率往右,本期看好往左。从偏移量来看,上期偏移量比较大,本期继续关注大偏移量的,其次防偏移量又突然变小。最后再结合遗漏期数和冷热号,我们可以关注1,2,3,4,6。综上所述本期有可能开出1,2,3,4,6等数。
个位:
上期个位开出了7号球。往前一期开出7号球,趋势没有移动,偏移了0个点,振幅为0。通过分析走势图,目前的趋势是大概率往左,小概率继续往右。从开号来看,开了3期7,本期比较大概率开其它的了,比较看好往左开,再结合偏移量,应该会变大不少,关注中等偏移量的号码,其次是小偏移量的。最后结合遗漏期数和冷热号。我们可以关注2,3,4,6,8等号。综上所述本期有可能开2,3,4,6,8等数。
五、总结:
百位推荐:0,3,5,7,9。
十位推荐:1,2,3,4,6。
个位推荐:2,3,4,6,8。
百位3胆:(会员解锁)
十位3胆:(会员解锁)
个位3胆:(会员解锁)
百位杀号:2。
十位杀号:9。
个位杀号:0。
三胆:(会员解锁)
双胆:(会员解锁)
金胆:(会员解锁)
七码复式:1234579
六码复式:(会员解锁)
五码复式:(会员解锁)
四码复式:(会员解锁)
50码推荐:(会员解锁)
我是金全有,以上观点仅供参考,如有不如意,望请海涵,担待。祝各位观众老爷,全中,多发,旺旺旺,也希望和老金名字一样,金子全都有。可以的话观众老爷能点个关注和赞,有能力的朋友可以点个小打赏。创作不易,您的点赞,关注和打赏是我最大的创作动力,感谢老板们!


