金全有2026061期福彩3D分析,上期会员金胆中3
先回顾一下上期开奖情况。

上期开出943,和尾为6,跨度为6,奇偶比为2:1,大小比为1:2,012路个数对比为2:1:0。
近期回顾:
第2026058期福彩3D分析文章,5码定位复式单注均中543,金胆命中3,双胆命中3,5。
第2026053期福彩3D分析文章,5码定位命中755,二胆命中5。
第2026051期福彩3D分析文章,3胆命中302,5码复式命中302,单注320。
第2026048期福彩3D分析文章,5码定位命中612,百位个位胆码命中62,6码复式命中612。
第2026042期福彩3D分析文章,5码定位复式均命中854,百位十位胆码命中。
第2026035期福彩3D分析文章,5码复式命中213。
第2026034期福彩3D分析文章,5码复式命中052,百位个位胆码命中。
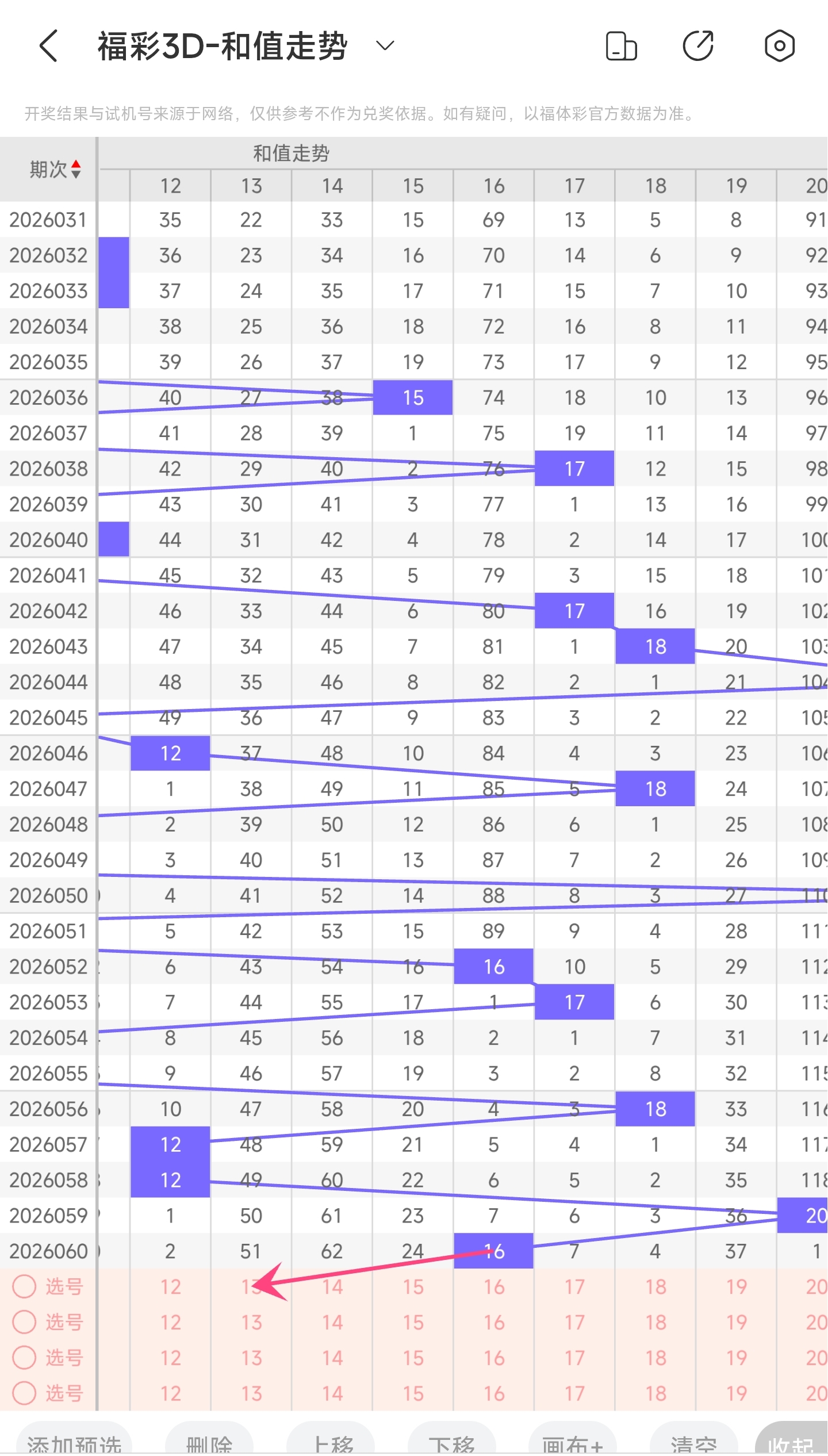
一、通过和值走势分析:

上期和值是16,往前一期和值是20。和值往左移动,偏移振幅为4。16和值是处于近30期内开出中间的和值。上升的空间和下降的空间差不多,但本期比较看好和值会变小。所以推测本期趋势是大概率变往左的,和值变小,小概率往右,和值变大。
二、通过类型走势分析:

上期开出了组六类型,往前一期是组六类型。理论上开出组六的概率是72%,开出组三的概率是27%,开出豹子的概率是1%。通过分析目前30期内已经开出的概率,组六概率为80%,开出组三概率是20%。开出豹子的概率为0%。与前一期相比,概率没有变化。通过走势图可以看到上期开了组六,推测本期可能开组三。所以推测本期大概率开组三,防开组六。
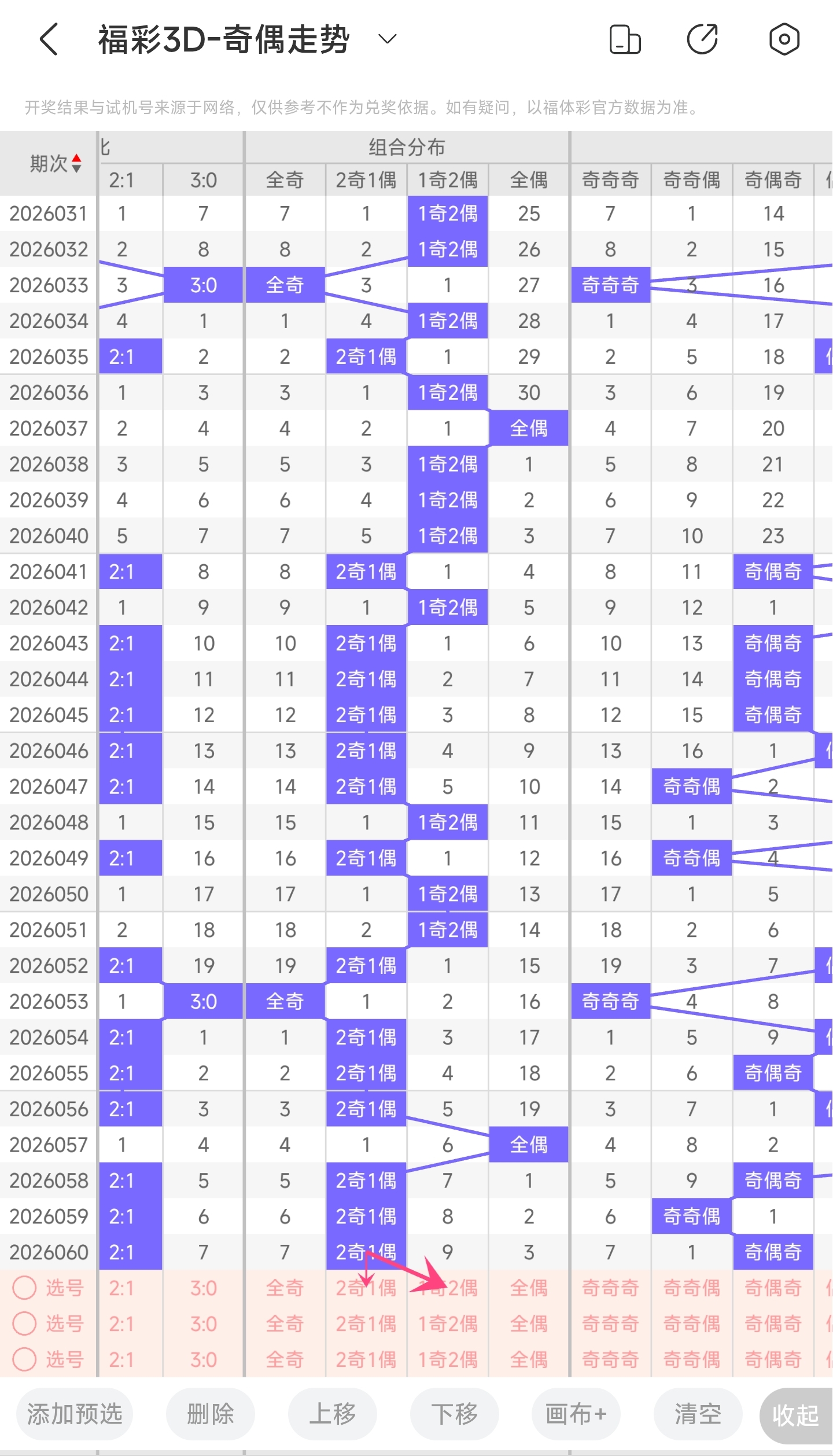
三、通过奇偶走势分析:

上期开了2奇1偶的情况,往前一期开出的是2奇1偶。从组合数学理论上来讲,开出2奇1偶和1奇2偶的概率都为37.5%,开出全偶和全奇的概率为12.5%。通过分析目前30期内的数据。本期的开出全偶的概率是6.66%,开出全奇的概率为6.66%,开出1奇2偶的概率为36.66%,开出2奇1偶的概率是50%。和前一期相比,概率没有变化。通过走势图分析,上期开了2奇1偶,连续开了3期,本期可能开1奇2偶。所以本期推测可能开1奇2偶,其次是2奇1偶,然后是全奇或者全偶类型。
四、通过定位分析:

百位:
上期百位开出了9号球。前一期开出的是7号,趋势往右移动,偏移量为2,振幅为2。通过分析走势图,可以看到目前趋势是明显往左的了。从偏移量来看,近期偏移量都是很小的,本期继续关注小偏移量的号码,其次防一下比较大偏移量的号码。最后再结合冷热号和遗漏期数,我们可以关注0,3,6,7,8等号码。综上所述本期我们推测有可能会开出0,3,6,7,8等数字。
十位:
上期十位开出了4号球。往前一期开出的是9号球,趋势往左移动,偏移了5个点,振幅为5。通过分析走势图,可以看到目前趋势是可能往左也可能往右。从近期偏移量来看,近2期偏移量都为5,推测本期可能会变小,所以本期关注小偏移量的号码。最后再结合遗漏期数和冷热号,我们可以关注2,3,5,7,8。综上所述本期有可能开出2,3,5,7,8等数。
个位:
上期个位开出了3号球。往前一期开出4号球,趋势往左移动,偏移了1个点,振幅为1。通过分析走势图,目前的趋势是大概率往右,小概率继续往左。再从结合偏移量看,近期偏移量都不是特别大,推测本期也不会变化太大,所以本期主要关注小偏移量的号码,其次是中等偏移量的。最后结合遗漏期数和冷热号。我们可以关注2,4,5,6,8等号。综上所述本期有可能开2,4,5,6,8等数。
五、总结:
百位推荐:0,3,6,7,8。
十位推荐:2,3,5,7,8。
个位推荐:2,4,5,6,8。
百位杀号:4。
十位杀号:0。
个位杀号:9。
七码复式:0234568
三胆:(会员解锁) 双胆:(会员解锁) 金胆:(会员解锁)
方案一、定位直选:4码定位(会员解锁) 3码定位(会员解锁)
方案二、四五六码复式:
六码复式(会员解锁) 五码复式(会员解锁) 四码复式(会员解锁)
方案三、直选50注:(会员解锁)
我是金全有,以上观点仅供参考,如有不如意,望请海涵,担待。祝各位观众老爷,全中,多发,旺旺旺,也希望和老金名字一样,金子全都有。可以的话观众老爷能点个关注和赞,有能力的朋友可以点个小打赏。创作不易,您的点赞,关注和打赏是我最大的创作动力,感谢老板们!


