金全有2026064期福彩3D分析
先回顾一下上期开奖情况。

上期开出517,和尾为3,跨度为6,奇偶比为3:0,大小比为2:1,012路个数对比为0:2:1。
近期回顾:
第2026058期福彩3D分析文章,5码定位复式单注均中543,金胆命中3,双胆命中3,5。
第2026053期福彩3D分析文章,5码定位命中755,二胆命中5。
第2026051期福彩3D分析文章,3胆命中302,5码复式命中302,单注320。
第2026048期福彩3D分析文章,5码定位命中612,百位个位胆码命中62,6码复式命中612。
第2026042期福彩3D分析文章,5码定位复式均命中854,百位十位胆码命中。
一、通过和值走势分析:

上期和值是13,往前一期和值是15。和值往左移动,偏移振幅为2。13和值是处于近30期内开出中间偏小的和值。上升的空间比较大,下降的空间比较小,推测和值会变大。所以本期趋势是大概率变往右的,和值变大,小概率往左,和值变小。
二、通过类型走势分析:

上期开出了组六类型,往前一期是组六类型。理论上开出组六的概率是72%,开出组三的概率是27%,开出豹子的概率是1%。通过分析目前30期内已经开出的概率,组六概率为83.33%,开出组三概率是16.66%。开出豹子的概率为0%。与前一期相比,组六概率变大,组三概率变小。通过走势图可以看到上期开了组六,推测本期可能开组六,但要考虑组三可能回补了。所以推测本期大概率开组六,防开组三。
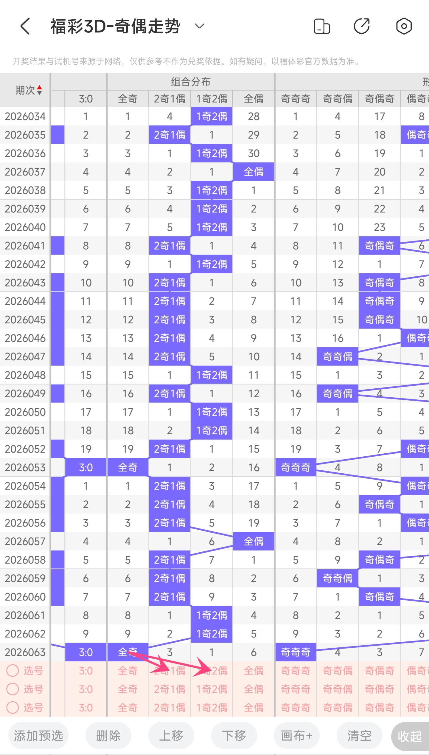
三、通过奇偶走势分析:

上期开了1奇2偶的情况,往前一期开出的是1奇2偶。从组合数学理论上来讲,开出2奇1偶和1奇2偶的概率都为37.5%,开出全偶和全奇的概率为12.5%。通过分析目前30期内的数据。本期的开出全偶的概率是6.66%,开出全奇的概率为6.66%,开出1奇2偶的概率为36.66%,开出2奇1偶的概率是50%。和前一期相比,概率没有变化。通过走势图分析,上期开了1奇2偶,推测本期可能开2奇1偶,其次是1奇2偶,然后是全奇或者全偶类型。
四、通过定位分析:

百位:
上期百位开出了5号球。前一期开出的是2号,趋势往右移动,偏移量为3,振幅为3。通过分析走势图,可以看到目前趋势是可能往左也可能往右。从偏移量来看,上期偏移量变大一点,推测本期变化不会太大,所以本期我们继续关注中小偏移量的号码。最后再结合冷热号和遗漏期数,我们可以关注0,3,7,8,9等号码。综上所述本期我们推测有可能会开出0,3,7,8,9等数字。
十位:
上期十位开出了1号球。往前一期开出的是9号球,趋势往左移动,偏移了8个点,振幅为8。通过分析走势图,可以看到目前趋势是明显往右。从近期偏移量来看,近2期偏移量是很大的,本期有可能继续开大偏移量的号码,其次是可能又突然变小,关注一下小偏移量的号码。最后再结合遗漏期数和冷热号,我们可以关注2,3,7,8,9。综上所述本期有可能开出2,3,7,8,9等数。
个位:
上期个位开出了7号球。往前一期开出4号球,趋势往右移动,偏移了3个点,振幅为3。通过分析走势图,目前的趋势是大概率往左,小概率继续往右。再从结合偏移量看,上期偏移量变小了一点,本期有可能继续变小,所以本期主要关注中小偏移量的号码,其次是防变大。最后结合遗漏期数和冷热号。我们可以关注2,4,5,8,9等号。综上所述本期有可能开2,4,5,8,9等数。
五、总结:
百位推荐:0,3,7,8,9。
十位推荐:2,3,7,8,9。
个位推荐:2,4,5,8,9。
百位杀号:4。
十位杀号:0。
个位杀号:1。
七码复式:0345789
三胆:(会员解锁) 双胆:(会员解锁) 金胆:(会员解锁)
方案一、定位直选:4码定位(会员解锁) 3码定位(会员解锁)
方案二、四五六码复式:
六码复式(会员解锁) 五码复式(会员解锁) 四码复式(会员解锁)
方案三、直选50注:(会员解锁)
我是金全有,以上观点仅供参考,如有不如意,望请海涵,担待。祝各位观众老爷,全中,多发,旺旺旺,也希望和老金名字一样,金子全都有。可以的话观众老爷能点个关注和赞,有能力的朋友可以点个小打赏。创作不易,您的点赞,关注和打赏是我最大的创作动力,感谢老板们!


